含DMSO的冻存液
DMSO是最常用的渗透性冷冻保护剂,广泛应用于细胞的冷冻保存。在细胞水平,DMSO除了是一种DNA致畸因子外,还可渗入细胞内,分子中S=O键可能与细胞内蛋白发生化学反应,致使蛋白变性。因此,有些细胞和组织细胞对DMSO敏感,使用含DMSO的细胞冷冻液会降低细胞复苏后活性,进而影响细胞的功能。临床上,使用经DMSO冻存的细胞会引发广泛的身体不适,最常见的是腹泻(约50%),严重的会造成患者神经系统、呼吸系统损伤甚至死亡(0.2%)。
在没有可替代DMSO的冷冻保护剂以前,为了降低DMSO的毒性,通常采用两种方法——降低冻存液中DMSO的含量以及复苏后洗涤除去DMSO残留。因此,研究者针对不同细胞开发了2.5~10%DMSO并且添加其它不同冷冻保护剂的复合配方。但这些不同种类改良的DMSO冻存液因成分复杂,浓度各异,难以标准化地推广用于多种细胞类型。临床上,使用DMSO冷冻保存的细胞,细胞复苏后最好应洗涤并离心2次,尽可能除去将残留的DMSO,减少不良后果。细胞治疗领域的科学家和医生多年来在研发和寻找无DMSO、低毒/无毒性、冷冻保存效果显著的新型细胞冻存液。
无DMSO冻存液
LiveCyte® DMSO-free的有效成分是单一的两性高分子氨基酸衍生物,不含任何其它冷冻保护成分。这种高分子化合物不会渗透细胞。低温冷冻时,它通过吸水,一方面导出细胞内的水分子,另一方面在细胞膜外形成保护层,抑制冰晶形成和生长,从而避免细胞受到冷冻损伤。值得一提的是,该成分是天然化合物,可被细胞和机体代谢为氨基酸,不会产生毒副作用。
我们经过反复实验证明,LiveCyte® DMSO-free完全可以替代经典的DMSO冻存技术。无DMSO、无动物源/人源成分的冻存液将可以避免DMSO对细胞功能和人体的潜在危害,避免潜在的动物源感染,并且质量稳定可控。因此,LiveCyte® DMSO-free是一款非常适宜于临床使用的细胞冻存产品。另外,我们竭力研发省时、省力的细胞冻存产品。使用时,LiveCyte® DMSO-free比经典的DMSO冻存液更便捷,可节省大量时间,也不需要添购其它冻存装置,可减少不必要的资金投入。
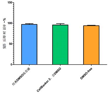
LiveCyte® DMSO-free冻存效果能够达到经典的DMSO冻存液。


使用说明书
LiveCyte®DMSO-free细胞冷冻液的有效组分为氨基酸衍生物,成分简单明确,不含DMSO、不含任何人源或动物源成分。
DMSO是常用的渗透性冷冻保护剂,使用广泛。但某些类型的细胞对DMSO敏感,使用含DMSO的细胞冷冻液可能会影响细胞的功能,尤其是干细胞。临床上直接使用经DMSO冻存的细胞会引发呕吐和腹泻,还会造成神经系统、呼吸系统等组织损伤。
使用方法:
1. 检查并确认细胞没有真菌、细菌、支原体污染。
2. 冻存前的细胞处于对数生长期最佳。
3. 计数待冻存的细胞数量。悬浮细胞应180g离心5~10min后除去培养基,贴壁细胞应消化后计数,再离心除去培养基。
4. 计算应使用的LiveCyte® DMSO-free体积。首先确定细胞冻存密度(可用密度为2~40×106/ml,最佳密度为4~20×106/ml)。
5. 吸取适量LiveCyte® DMSO-free,重悬细胞,立即0.5ml/管分装至细胞冻存管(可冻存体积为0.2~1ml/管,最佳体积为0.5ml/管)。
6. 立即将冻存管移入-80℃低温冰箱,不能采取任何程序降温措施或使用程序降温装置。如果无法立即移入-80℃低温冰箱,至少应当先移入0℃以下环境中(如-20℃冰箱)短暂存放10min左右,同样不能采取程序降温。冻存液重悬后的细胞不能在室温或2~8℃静置超过10min以上。
7. -80℃冰箱过夜后的冻存管,要立即移入液氮中储存,不可于-80℃长期冻存。
8. 复苏时,先准备室温或37℃预温的基础培养基,再37℃水浴冻存管,不断轻摇,待剩余1粒米大小的冰块时,迅速移出水浴。然后按1:15~1:30稀释比例,立即用基础培养基稀释融化的细胞悬液,接着180g离心5~10分钟,再重悬细胞使用。
9. 本品仅供研究使用。